Product Descriptions
Neodymium permanent magnets radially magnetized ring magnets leverage rare-earth NdFeB composition to deliver superior magnetic performance across industrial and consumer applications. These magnets are engineered in diverse geometries and performance grades to meet precise technical requirements. Each unit features protective surface coatings that ensure corrosion resistance in demanding operating conditions. With full RoHS and CE certification, our products guarantee compliance with European regulatory standards while maintaining consistent quality for global market entry. This combination of powerful magnetic characteristics, environmental durability, and regulatory approval makes them ideal for advanced technological implementations.

Application
Neodymium radially magnetized ring magnets feature a unique magnetic orientation where the polarization extends through the radial direction, creating a magnetic field circulating around their circumference. This specialized configuration makes them particularly suitable for precision brushless DC motors, servo systems, and stepper motors where they enable smooth torque transmission and accurate angular positioning. The design of neodymium radially magnetized ring magnets also supports their use in magnetic coupling assemblies, providing non-contact torque transfer in pumps and fluid handling systems while maintaining complete isolation between components. Additional implementations include rotational sensors, encoders, and scientific instruments requiring consistent circumferential field distribution. Their robust magnetic output and thermal stability further facilitate deployment in automotive actuators, aerospace mechanisms, and industrial automation equipment where reliability under variable operating conditions is essential. The versatility of these magnets continues to expand their adoption across advanced technological sectors demanding efficient electromagnetic performance.

Magnetization Direction

Coating / Plating

High-Precision Manufacturing
Hesheng Magnetics employs advanced precision grinding and cutting technologies, achieving tolerances as tight as ±0.05mm. This meticulous manufacturing process ensures every magnet meets the highest standards of dimensional accuracy and performance consistency, making our products ideal for demanding industrial, automotive, and electronic applications where precision is critical.

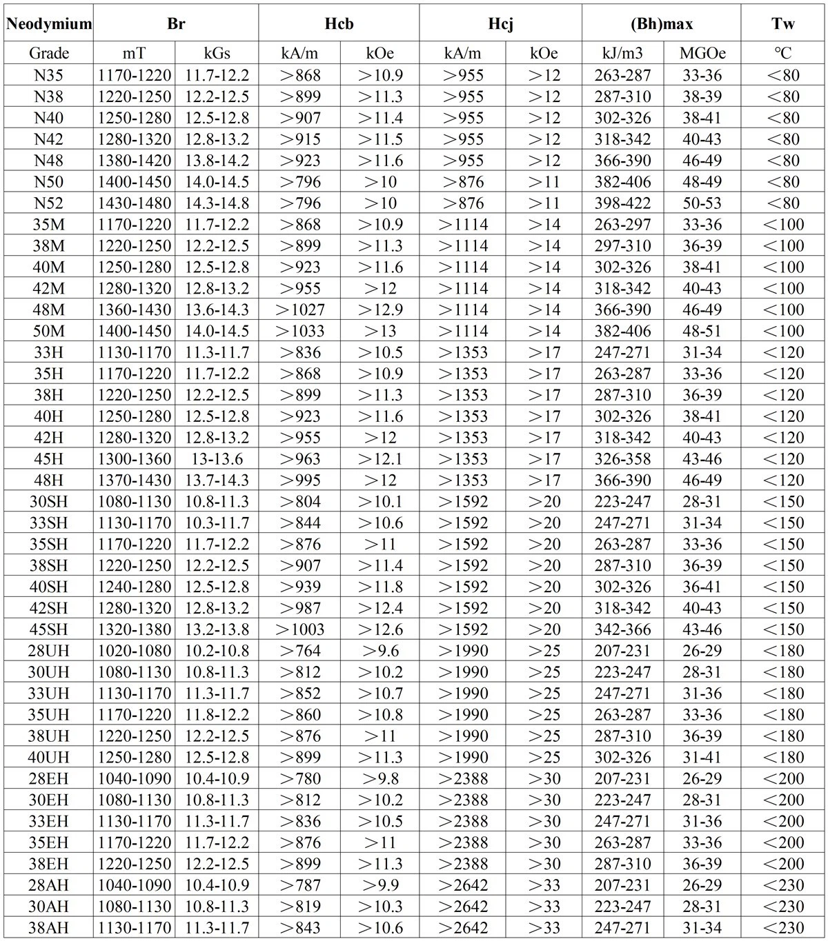
Magnetic Grade Parameters

Company Profile
Founded in 2003, Hesheng Magnetics has established itself as a pioneer in China's neodymium rare earth permanent magnet industry. With full vertical integration-from raw material processing to finished product assembly-we control quality at every stage.
Over the past two decades, our dedication to R&D and advanced manufacturing technologies has positioned us as a leader in intelligent magnet solutions and precision applications. Our expertise spans four specialized categories:
Extra-Large Dimension Magnets – designed for high-capacity industrial and energy applications
Precision Magnetic Assemblies – engineered for reliable performance in complex systems
Custom-Shaped Components – tailored solutions to meet unique client requirements
Specialized Magnetic Tooling Solutions – optimized tools for manufacturing and industrial use



FAQ
Q: What are radially magnetized ring magnets?
A: These are neodymium magnets designed to have a magnetic field radiating outward along the ring's circumference, providing uniform torque and flux distribution.
Q: What sizes and grades are available?
A: Diameters typically range from 10mm to 100mm, with thicknesses from 5mm to 30mm. Multiple magnetic grades are available to meet different application needs.
Q: Are custom sizes or magnetization directions possible?
A: Yes. We provide tailored solutions for diameter, thickness, grade, and radial magnetization orientation.
Q: What coatings are available?
A: Nickel, zinc, or epoxy coatings are available to ensure corrosion resistance and long-term stability.
Q: What applications are suitable?
A: Common uses include electric motors, magnetic couplings, precision robotics, renewable energy systems, and medical devices.



